鼠李糖脂

CAS号: 147858-26-2 / 869062-42-0
鼠李糖脂是一种由细菌发酵产生的生物表面活性剂, 也是目前研究最深入全面,应用前景最广阔的生物表面活性剂。它属于水溶性的阴离子表面活性剂, 具有降低表面张力、增溶、乳化、破乳、消泡、洗涤、分散与絮凝、渗透和润湿等功能。鼠李糖脂的表面活性强,所需用量小,且与其他表面活性剂的配伍性极好,同时具有无毒、化学稳定性好、耐温耐盐、可生物降解等优势,是环保型的可持续的替代产品。
浙江圣达紫金生物科技有限公司拥有鼠李糖脂发酵、分离、纯化和应用的多项发明专利,并委托圣达集团旗下有丰富工业化生物生产技术和经验的乐鱼leyu(中国)负责生产。本公司的生物生产技术处于国内领先水平,且是国内少数几家掌握化妆品级鼠李糖脂分离纯化技术的企业之一,产品品质和性能可以媲美国际知名特种化工企业的同类产品。
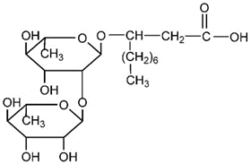
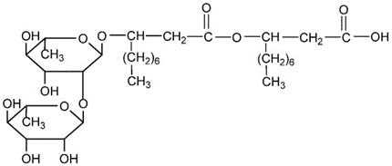
产品化学结构:
单-鼠李糖脂

双-鼠李糖脂

|
产品类别 |
外观 |
用途 |
|
纯化糖脂 |
浅黄色溶液 |
日化清洁: 护肤洗手液, 洗衣液, 厨房油污清洁等 化妆品:用于高端个护产品, 具有祛痘、抗皱和保湿等功能 医药: 抗真菌、无疤痕伤口修复、促药物吸收等 食品: 防腐、保鲜、乳化和发泡等 |
|
浓缩糖脂 |
浅黄色膏状半固体 |
工业清洗:重油污清洁,大型设备去污等 印染:染料分散,重整辅助等 |
|
去菌体发酵液 |
红棕色溶液 |
石油: 三次采油、油泥处理和油田疏堵等 环境: 土壤修复、废水处理等 农化: 农药和化肥助剂、鱼塘净水、饲料添加剂等 |
已获证书:
ISO9001, ISO14001, ISO45001
联系方式:
.png)